KEGG   REACTION: R12016
Entry
R12016                      Reaction                               
Definition
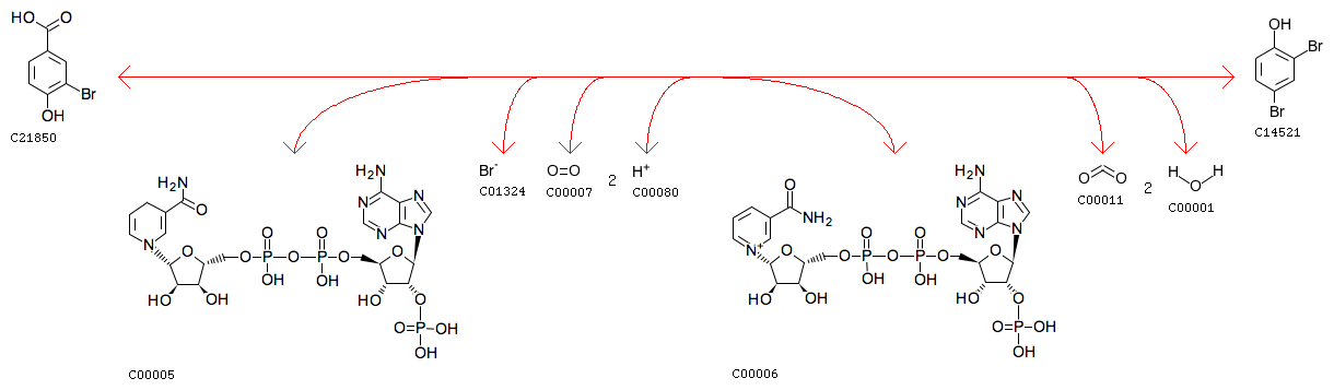
3-Bromo-4-hydroxybenzoate + NADPH + Bromide + Oxygen + 2 H+ <=> 2,4-Dibromophenol + NADP+ + CO2 + 2 H2O
Equation
Comment
the second step of two-step reaction (see R12013, R12015+R12016)
Enzyme
Brite
Enzymatic reactions [BR:br08201]
 1. Oxidoreductase reactions
  1.14  Acting on paired donors, with incorporation or reduction of molecular oxygen
   1.14.19  With oxidation of a pair of donors resulting in the reduction of O2 to two molecules of water
    1.14.19.55
     R12016  3-Bromo-4-hydroxybenzoate + NADPH + Bromide + Oxygen + 2 H+ <=> 2,4-Dibromophenol + NADP+ + CO2 + 2 H2O
Other DBs
RHEA: 56359
LinkDB

DBGET integrated database retrieval system