KEGG   REACTION: R12019
Entry
R12019                      Reaction                               
Definition
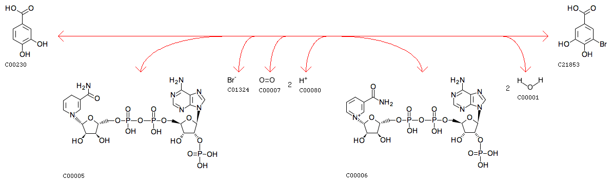
3,4-Dihydroxybenzoate + NADPH + Bromide + Oxygen + 2 H+ <=> 3-Bromo-4,5-dihydroxybenzoate + NADP+ + 2 H2O
Equation
Comment
the first step of two-step reaction (see R12018, R12019+R12020)
Reaction class
RC00949  C00230_C21853
Enzyme
Brite
Enzymatic reactions [BR:br08201]
 1. Oxidoreductase reactions
  1.14  Acting on paired donors, with incorporation or reduction of molecular oxygen
   1.14.19  With oxidation of a pair of donors resulting in the reduction of O2 to two molecules of water
    1.14.19.55
     R12019  3,4-Dihydroxybenzoate + NADPH + Bromide + Oxygen + 2 H+ <=> 3-Bromo-4,5-dihydroxybenzoate + NADP+ + 2 H2O
Other DBs
RHEA: 56375
LinkDB

DBGET integrated database retrieval system