Entry |
|
Name |
UDP-N-acetyl-alpha-D-glucosamine:trans,octacis-decaprenyl-phosphate N-acetylglucosaminephosphotransferase
|
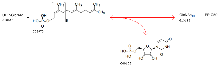
Definition |
UDP-N-acetyl-D-glucosamine + Decaprenol phosphate <=> UMP + GlcNAc-pyrophosphoryldecaprenol
|
Equation |
|
|
 |
Remark |
|
Enzyme |
|
Pathway |
rn00572 | Arabinogalactan biosynthesis - Mycobacterium |
|
Module |
M00888 | Galactofuranan biosynthesis, decaprenyl phosphate + UDP-GlcNAc (+ dTDP-Rha/UDP-Galf) => GL-5 |
|
Brite |
Enzymatic reactions [BR:br08201]
2. Transferase reactions
2.7 Transferring phosphorus-containing groups
2.7.8 Transferases for other substituted phosphate groups
2.7.8.35
R12075 UDP-N-acetyl-D-glucosamine + Decaprenol phosphate <=> UMP + GlcNAc-pyrophosphoryldecaprenol
Glycosyltransferase reactions [br08203.html]
N-Acetylglucosaminyltransferase reactions
R12075
|
Orthology |
K02851 | UDP-GlcNAc:undecaprenyl-phosphate/decaprenyl-phosphate GlcNAc-1-phosphate transferase [EC:2.7.8.33 2.7.8.35] |
|
LinkDB |
|