REACTION: R12150
Help
Entry
R12150 Reaction
Name
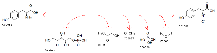
L-tyrosine:D-ribulose-5-phosphate lyase (isonitrile-forming)
Definition
L-Tyrosine + D-Ribulose 5-phosphate <=> (2S)-3-(4-Hydroxyphenyl)-2-isocyanopropanoate + Hydroxyacetone + Formaldehyde + Orthophosphate + H2O
Equation
C00082
+
C00199
<=>
C21889
+
C05235
+
C00067
+
C00009
+
C00001
Enzyme
4.1.99.24
Pathway
rn00997
Biosynthesis of various other secondary metabolites
Brite
Enzymatic reactions [BR:
br08201
]
4. Lyase reactions
4.1 Carbon-carbon lyases
4.1.99 Other carbon-carbon lyases
4.1.99.24
R12150 L-Tyrosine + D-Ribulose 5-phosphate <=> (2S)-3-(4-Hydroxyphenyl)-2-isocyanopropanoate + Hydroxyacetone + Formaldehyde + Orthophosphate + H2O
BRITE hierarchy
Orthology
K22952
L-tyrosine isonitrile synthase [EC:
4.1.99.24
]
LinkDB
All DBs
DBGET
integrated database retrieval system