| Entry |
|
| Name |
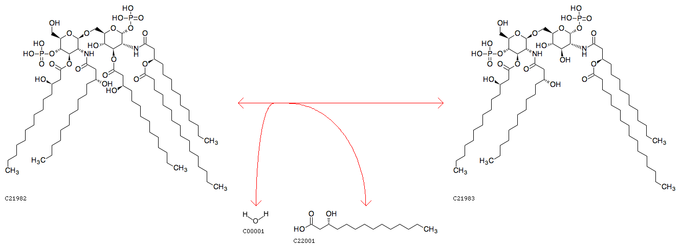
lipid-IVB hydroxyacylhydrolase
|
| Definition |
Lipid IVB + H2O <=> Deacyl-lipid IVB + (R)-3-Hydroxymyristic acid
|
| Equation |
|
|
 |
| Reaction class |
|
| Enzyme |
3.1.1.-
|
| Pathway |
| rn00540 | Lipopolysaccharide biosynthesis |
|
| Brite |
Enzymatic reactions [BR:br08201]
3. Hydrolase reactions
3.1 Acting on ester bonds
3.1.1 Carboxylic-ester hydrolases
3.1.1.-
R12198 Lipid IVB + H2O <=> Deacyl-lipid IVB + (R)-3-Hydroxymyristic acid
|
| Orthology |
| K12976 | lipid A 3-O-deacylase [EC:3.1.1.-] |
|
| LinkDB |
|