KEGG   REACTION: R12390
Entry
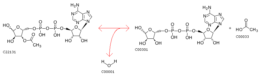
R12390                      Reaction                               
Name
O-acetyl-ADP-D-ribose carboxylesterase
Definition
3''-O-Acetyl-ADP-D-ribose + H2O <=> ADP-ribose + Acetate
Equation
Reaction class
RC00055  C00301_C22131
RC00523  C00033_C22131
Enzyme
Brite
Enzymatic reactions [BR:br08201]
 3. Hydrolase reactions
  3.1  Acting on ester bonds
   3.1.1  Carboxylic-ester hydrolases
    3.1.1.106
     R12390  3''-O-Acetyl-ADP-D-ribose + H2O <=> ADP-ribose + Acetate
Orthology
K23518  O-acetyl-ADP-ribose deacetylase [EC:3.1.1.106]
LinkDB

DBGET integrated database retrieval system