KEGG   REACTION: R12431
Entry
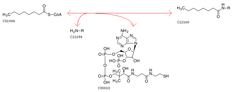
R12431                      Reaction                               
Name
octanoyl-CoA:lipoyl-carrier-protein-E2 N-octanoyltransferase
Definition
Octanoyl-CoA + Lipoyl-carrier protein E2 <=> [Lipoyl-carrier protein E2]-N6-octanoyl-L-lysine + CoA
Equation
Reaction class
RC00004  C00010_C01944
Enzyme
2.3.1.-
Pathway
rn00785  Lipoic acid metabolism
rn01100  Metabolic pathways
rn01240  Biosynthesis of cofactors
Module
M00884  Lipoic acid biosynthesis, octanoyl-CoA => dihydrolipoyl-E2
Brite
Enzymatic reactions [BR:br08201]
 2. Transferase reactions
  2.3  Acyltransferases
   2.3.1  Transferring groups other than aminoacyl groups
    2.3.1.-
     R12431  Octanoyl-CoA + Lipoyl-carrier protein E2 <=> [Lipoyl-carrier protein E2]-N6-octanoyl-L-lysine + CoA
Orthology
K23750  octanoyl-CoA:protein transferase [EC:2.3.1.-]
LinkDB

DBGET integrated database retrieval system