KEGG   REACTION: R12521
Entry
R12521                      Reaction                               
Name
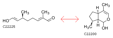
(S)-8-oxocitronellyl enol cyclase [(+)-cis,cis-nepetalactol-forming]
Definition
(S)-8-Oxocitronellyl enol <=> (+)-cis,cis-Nepetalactol
Equation
Enzyme
Brite
Enzymatic reactions [BR:br08201]
 5. Isomerase reactions
  5.5  Intramolecular lyases
   5.5.1  Intramolecular lyases (only sub-subclass identified to date)
    5.5.1.35
     R12521  (S)-8-Oxocitronellyl enol <=> (+)-cis,cis-Nepetalactol
Other DBs
RHEA: 61423
LinkDB

DBGET integrated database retrieval system