KEGG   REACTION: R12565
Entry
R12565                      Reaction                               
Definition
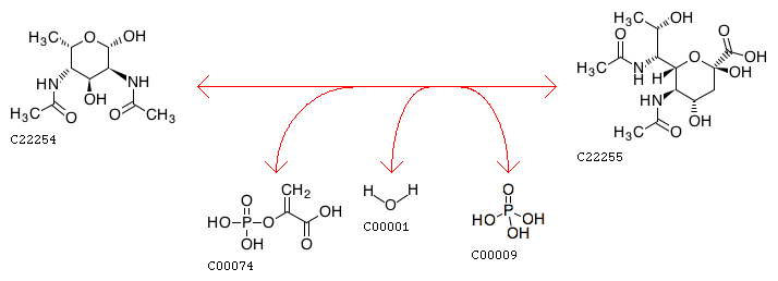
2,4-Diacetamido-2,4,6-trideoxy-beta-L-gulose + Phosphoenolpyruvate + H2O <=> 5,7-Diacetamido-3,5,7,9-tetradeoxy-L-glycero-D-galacto-non-2-ulosonic acid + Orthophosphate
Equation
Comment
transferase
Reaction class
RC00159  C22254_C22255
Enzyme
2.5.1.-
Pathway
rn00541  Biosynthesis of various nucleotide sugars
rn01100  Metabolic pathways
rn01250  Biosynthesis of nucleotide sugars
Module
M01008  CMP-8eLeg5Ac7Ac biosynthesis, UDP-GlcNAc => CMP-8eLeg5Ac7Ac
Brite
Enzymatic reactions [BR:br08201]
 2. Transferase reactions
  2.5  Transferring alkyl or aryl groups, other than methyl groups
   2.5.1  Transferring alkyl or aryl groups, other than methyl groups (only sub-subclass identified to date)
    2.5.1.-
     R12565  2,4-Diacetamido-2,4,6-trideoxy-beta-L-gulose + Phosphoenolpyruvate + H2O <=> 5,7-Diacetamido-3,5,7,9-tetradeoxy-L-glycero-D-galacto-non-2-ulosonic acid + Orthophosphate
Orthology
K24284  2,4-diacetamido-2,4,6-trideoxy-beta-L-gulose transferase [EC:2.5.1.-]
LinkDB

DBGET integrated database retrieval system