KEGG   REACTION: R12582
Entry
R12582                      Reaction                               
Name
selenophosphate:5-methylaminomethyl-2-(S-geranyl)thiouridine34 selenophosphatetransferase
Definition
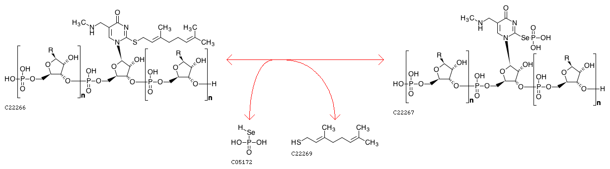
Selenophosphoric acid + 5-Methylaminomethyl-2-(S-geranyl)thiouridine in tRNA <=> 5-Methylaminomethyl-2-(Se-phospho)selenouridine in tRNA + (2E)-3,7-Dimethylocta-2,6-diene-1-thiol
Equation
Enzyme
Brite
Enzymatic reactions [BR:br08201]
 2. Transferase reactions
  2.9  Transferring selenium-containing groups
   2.9.1  Selenotransferases
    2.9.1.3
     R12582  Selenophosphoric acid + 5-Methylaminomethyl-2-(S-geranyl)thiouridine in tRNA <=> 5-Methylaminomethyl-2-(Se-phospho)selenouridine in tRNA + (2E)-3,7-Dimethylocta-2,6-diene-1-thiol
Other DBs
RHEA: 60175
LinkDB

DBGET integrated database retrieval system