KEGG   REACTION: R12619
Entry
R12619                      Reaction                               
Name
6-chloropyridine-2,3,5-triol,FADH2:oxygen oxidoreductase (dechlorinating)
Definition
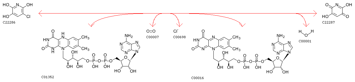
6-Chloropyridine-2,3,5-triol + FADH2 + Oxygen <=> 3,6-Dihydroxypyridine-2,5-dione + Cl- + FAD + H2O
Equation
Enzyme
Brite
Enzymatic reactions [BR:br08201]
 1. Oxidoreductase reactions
  1.14  Acting on paired donors, with incorporation or reduction of molecular oxygen
   1.14.14  With reduced flavin or flavoprotein as one donor, and incorporation of one atom of oxygen into the other donor
    1.14.14.172
     R12619  6-Chloropyridine-2,3,5-triol + FADH2 + Oxygen <=> 3,6-Dihydroxypyridine-2,5-dione + Cl- + FAD + H2O
LinkDB

DBGET integrated database retrieval system