KEGG   REACTION: R12669
Entry
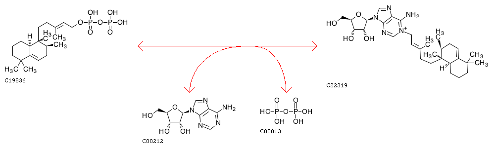
R12669                      Reaction                               
Name
tuberculosinyl diphosphate:adenosine tuberculosinyltransferase
Definition
Tuberculosinyl diphosphate + Adenosine <=> 1-Tuberculosinyladenosine + Diphosphate
Equation
Enzyme
Brite
Enzymatic reactions [BR:br08201]
 2. Transferase reactions
  2.5  Transferring alkyl or aryl groups, other than methyl groups
   2.5.1  Transferring alkyl or aryl groups, other than methyl groups (only sub-subclass identified to date)
    2.5.1.153
     R12669  Tuberculosinyl diphosphate + Adenosine <=> 1-Tuberculosinyladenosine + Diphosphate
LinkDB

DBGET integrated database retrieval system