REACTION: R12682
Help
Entry
R12682 Reaction
Definition
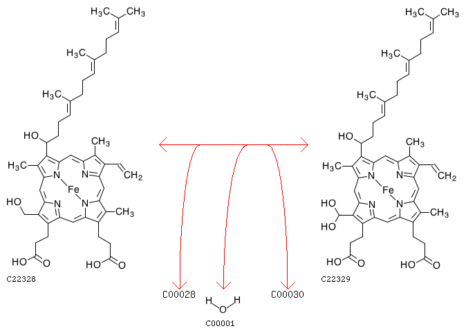
Heme I + Acceptor + H2O <=> Hydroxyheme I + Reduced acceptor
Equation
C22328
+
C00028
+
C00001
<=>
C22329
+
C00030
Comment
the second step of three-step reaction (see
R07412, R12681+R12682+R12683
)
Enzyme
1.17.99.9
Brite
Enzymatic reactions [BR:
br08201
]
1. Oxidoreductase reactions
1.17 Acting on CH or CH2 groups
1.17.99 With unknown physiological acceptors
1.17.99.9
R12682 Heme I + Acceptor + H2O <=> Hydroxyheme I + Reduced acceptor
BRITE hierarchy
LinkDB
All DBs
DBGET
integrated database retrieval system