KEGG   REACTION: R12694
Entry
R12694                      Reaction                               
Definition
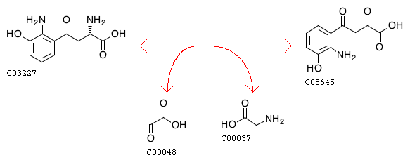
3-Hydroxy-L-kynurenine + Glyoxylate <=> 4-(2-Amino-3-hydroxyphenyl)-2,4-dioxobutanoate + Glycine
Equation
Comment
the first step of two-step reaction (see R12693, R12694+R03954)
Reaction class
RC00006  C03227_C05645
Enzyme
Brite
Enzymatic reactions [BR:br08201]
 2. Transferase reactions
  2.6  Transferring nitrogenous groups
   2.6.1  Transaminases
    2.6.1.63
     R12694  3-Hydroxy-L-kynurenine + Glyoxylate <=> 4-(2-Amino-3-hydroxyphenyl)-2,4-dioxobutanoate + Glycine
LinkDB

DBGET integrated database retrieval system