KEGG   REACTION: R12703
Entry
R12703                      Reaction                               
Definition
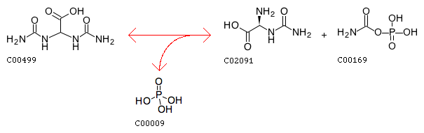
Allantoate + Orthophosphate <=> (S)-Ureidoglycine + Carbamoyl phosphate
Equation
Reaction class
RC00064  C00499_C02091
Enzyme
Pathway
rn00230  Purine metabolism
rn01100  Metabolic pathways
Brite
Enzymatic reactions [BR:br08201]
 2. Transferase reactions
  2.1  Transferring one-carbon groups
   2.1.3  Carboxy- and carbamoyltransferases
    2.1.3.16
     R12703  Allantoate + Orthophosphate <=> (S)-Ureidoglycine + Carbamoyl phosphate
Orthology
K24871  ureidoglycine carbamoyltransferase [EC:2.1.3.16]
Other DBs
RHEA: 69391
LinkDB

DBGET integrated database retrieval system