KEGG   REACTION: R12769
Entry
R12769                      Reaction                               
Definition
N-Acetyl-alpha-neuraminate <=> Aceneuramate
Equation
Comment
the first step of the two-step reaction (see R09797, R12769+R12770)
Reaction class
RC03559  C19909_C22382
Enzyme
Brite
Enzymatic reactions [BR:br08201]
 5. Isomerase reactions
  5.1  Racemases and epimerases
   5.1.3  Acting on carbohydrates and derivatives
    5.1.3.24
     R12769  N-Acetyl-alpha-neuraminate <=> Aceneuramate
Orthology
K17948  N-acetylneuraminate epimerase [EC:5.1.3.24]
LinkDB

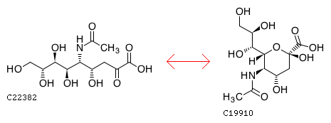
KEGG   REACTION: R12770
Entry
R12770                      Reaction                               
Definition
Aceneuramate <=> N-Acetyl-beta-neuraminate
Equation
Comment
the second step of the two-step reaction (see R09797, R12769+R12770)
Reaction class
RC03559  C19910_C22382
Enzyme
Brite
Enzymatic reactions [BR:br08201]
 5. Isomerase reactions
  5.1  Racemases and epimerases
   5.1.3  Acting on carbohydrates and derivatives
    5.1.3.24
     R12770  Aceneuramate <=> N-Acetyl-beta-neuraminate
Orthology
K17948  N-acetylneuraminate epimerase [EC:5.1.3.24]
LinkDB

DBGET integrated database retrieval system