REACTION: R12808
Help
Entry
R12808 Reaction
Definition
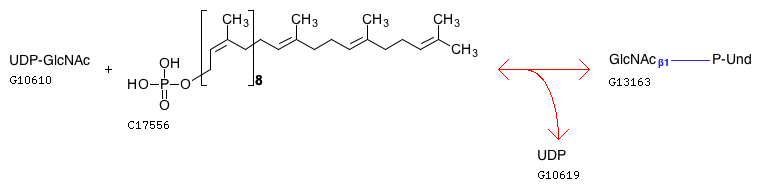
UDP-N-acetyl-D-glucosamine + di-trans,poly-cis-Undecaprenyl phosphate <=> UDP + beta-GlcNAc-P-undecaprenol
Equation
G10610
+
C17556
<=>
G10619
+
G13163
Pathway
rn00552
Teichoic acid biosynthesis
Brite
Glycosyltransferase reactions [
br08203.html
]
N-Acetylglucosaminyltransferase reactions
R12808
BRITE hierarchy
Orthology
K20534
polyisoprenyl-phosphate glycosyltransferase [EC:2.4.-.-]
K25617
lipoteichoic acid polyisoprenyl-phosphate beta-N-acetylglucosaminyltransferase [EC:2.4.-.-]
LinkDB
All DBs
DBGET
integrated database retrieval system