KEGG   REACTION: R12851
Entry
R12851                      Reaction                               
Name
adenylosuccinate lyase
Definition
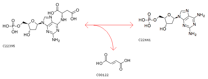
N6-Succino-2-amino-2'-deoxyadenylate <=> dZMP + Fumarate
Equation
Reaction class
RC00444  C22395_C22441
Enzyme
Pathway
rn00230  Purine metabolism
Brite
Enzymatic reactions [BR:br08201]
 4. Lyase reactions
  4.3  Carbon-nitrogen lyases
   4.3.2  Amidine-lyases
    4.3.2.2
     R12851  N6-Succino-2-amino-2'-deoxyadenylate <=> dZMP + Fumarate
Orthology
K01756  adenylosuccinate lyase [EC:4.3.2.2]
LinkDB

DBGET integrated database retrieval system