KEGG   REACTION: R12877
Entry
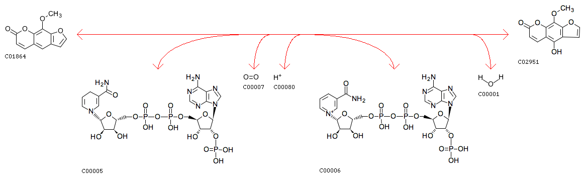
R12877                      Reaction                               
Definition
Xanthotoxin + NADPH + Oxygen + H+ <=> 5-Hydroxyxanthotoxin + NADP+ + H2O
Equation
Enzyme
1.14.14.-
Pathway
rn00999  Biosynthesis of various plant secondary metabolites
rn01110  Biosynthesis of secondary metabolites
Brite
Enzymatic reactions [BR:br08201]
 1. Oxidoreductase reactions
  1.14  Acting on paired donors, with incorporation or reduction of molecular oxygen
   1.14.14  With reduced flavin or flavoprotein as one donor, and incorporation of one atom of oxygen into the other donor
    1.14.14.-
     R12877  Xanthotoxin + NADPH + Oxygen + H+ <=> 5-Hydroxyxanthotoxin + NADP+ + H2O
Orthology
K25523  cytochrome P450 family 71 subfamily AZ [EC:1.14.14.-]
Reference
1  [PMID:29971079]
  Authors
Krieger C, Roselli S, Kellner-Thielmann S, Galati G, Schneider B, Grosjean J, Olry A, Ritchie D, Matern U, Bourgaud F, Hehn A.
  Title
The CYP71AZ P450 Subfamily: A Driving Factor for the Diversification of Coumarin  Biosynthesis in Apiaceous Plants.
  Journal
Front Plant Sci 9:820 (2018)
DOI:10.3389/fpls.2018.00820
LinkDB

DBGET integrated database retrieval system