KEGG   REACTION: R12885
Entry
R12885                      Reaction                               
Definition
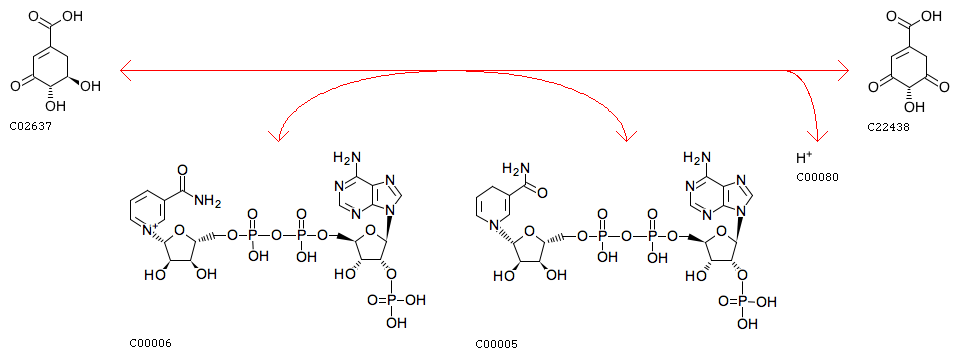
3-Dehydroshikimate + NADP+ <=> 3,5-Dehydroshikimate + NADPH + H+
Equation
Enzyme
Pathway
rn00999  Biosynthesis of various plant secondary metabolites
Brite
Enzymatic reactions [BR:br08201]
 1. Oxidoreductase reactions
  1.1  Acting on the CH-OH group of donors
   1.1.1  With NAD+ or NADP+ as acceptor
    1.1.1.25
     R12885  3-Dehydroshikimate + NADP+ <=> 3,5-Dehydroshikimate + NADPH + H+
IUBMB reaction hierarchy [BR:br08202]
 1. Oxidoreductase reactions
  1.1.1.25
   R02413  Shikimate <=> 3-Dehydroshikimate
    R12885  3-Dehydroshikimate <=> 3,5-Dehydroshikimate
Orthology
K00014  shikimate dehydrogenase [EC:1.1.1.25]
K13830  pentafunctional AROM polypeptide [EC:4.2.3.4 4.2.1.10 1.1.1.25 2.7.1.71 2.5.1.19]
K13832  3-dehydroquinate dehydratase / shikimate dehydrogenase [EC:4.2.1.10 1.1.1.25]
LinkDB

DBGET integrated database retrieval system