KEGG   REACTION: R12919
Entry
R12919                      Reaction                               
Name
S-adenosyl-L-methionine:arsenous acid As-methyltransferase
Definition
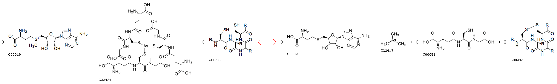
3 S-Adenosyl-L-methionine + Arsenic triglutathione + 3 Thioredoxin <=> 3 S-Adenosyl-L-homocysteine + Trimethylarsane + 3 Glutathione + 3 Thioredoxin disulfide
Equation
3 C00019 + C22431 + 3 C00342 <=> 3 C00021 + C22417 + 3 C00051 + 3 C00343
Enzyme
Brite
Enzymatic reactions [BR:br08201]
 2. Transferase reactions
  2.1  Transferring one-carbon groups
   2.1.1  Methyltransferases
    2.1.1.137
     R12919  3 S-Adenosyl-L-methionine + Arsenic triglutathione + 3 Thioredoxin <=> 3 S-Adenosyl-L-homocysteine + Trimethylarsane + 3 Glutathione + 3 Thioredoxin disulfide
LinkDB

DBGET integrated database retrieval system