KEGG   REACTION: R12944
Entry
R12944                      Reaction                               
Name
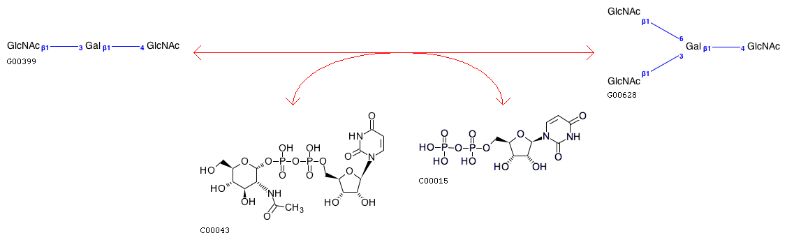
UDP-N-acetyl-alpha-D-glucosamine:N-acetyl-beta-D-glucosaminyl-(1->3)-beta-D-galactosyl-(1->4)-N-acetyl-beta-D-glucosaminide 6-beta-N-acetylglucosaminyltransferase (configuration-inverting)
Definition
UDP-N-acetyl-alpha-D-glucosamine + G00399 <=> UDP + G00628
Equation
Enzyme
Brite
Enzymatic reactions [BR:br08201]
 2. Transferase reactions
  2.4  Glycosyltransferases
   2.4.1  Hexosyltransferases
    2.4.1.386
     R12944  UDP-N-acetyl-alpha-D-glucosamine + G00399 <=> UDP + G00628
LinkDB

DBGET integrated database retrieval system