KEGG   REACTION: R12979
Entry
R12979                      Reaction                               
Name
beta-D-glucosyl-(1->4)-D-galactose:phosphate alpha-D-glucosyltransferase (configuration-inverting)
Definition
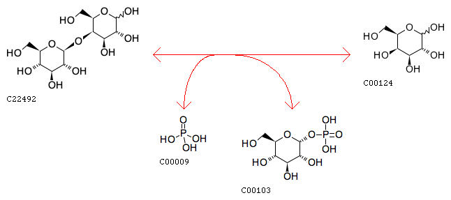
beta-D-Glucosyl-(1->4)-D-galactose + Orthophosphate <=> D-Glucose 1-phosphate + D-Galactose
Equation
Enzyme
Brite
Enzymatic reactions [BR:br08201]
 2. Transferase reactions
  2.4  Glycosyltransferases
   2.4.1  Hexosyltransferases
    2.4.1.388
     R12979  beta-D-Glucosyl-(1->4)-D-galactose + Orthophosphate <=> D-Glucose 1-phosphate + D-Galactose
Other DBs
RHEA: 70178
LinkDB

DBGET integrated database retrieval system