KEGG   REACTION: R13087
Entry
R13087                      Reaction                               
Definition
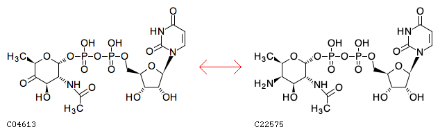
UDP-2-acetamido-4-dehydro-2,6-dideoxyglucose <=> UDP-2-acetamido-4-amino-2,4,6-trideoxy-D-galactose
Equation
Comment
unclear reaction, aminotransferase
Reaction class
RC00781  C04613_C22575
Pathway
rn00541  Biosynthesis of various nucleotide sugars
rn01100  Metabolic pathways
rn01250  Biosynthesis of nucleotide sugars
Module
M01037  UDP-D-FucNAc4N biosynthesis, UDP-GlcNAc => UDP-D-FucNAc4N
Orthology
K26217  UDP-4-amino-4-deoxy-L-arabinose-oxoglutarate aminotransferase
Reference
1  [PMID:12117952]
  Authors
Xu DQ, Cisar JO, Ambulos N Jr, Burr DH, Kopecko DJ
  Title
Molecular cloning and characterization of genes for Shigella sonnei form I O polysaccharide: proposed biosynthetic pathway and stable expression in a live salmonella vaccine vector.
  Journal
Infect Immun 70:4414-23 (2002)
DOI:10.1128/IAI.70.8.4414-4423.2002
LinkDB

DBGET integrated database retrieval system