KEGG   REACTION: R13116
Entry
R13116                      Reaction                               
Definition
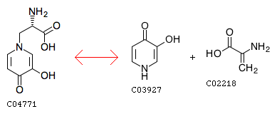
L-Mimosine <=> 3-Hydroxy-4H-pyrid-4-one + Dehydroalanine
Equation
Comment
a part of multi-step reaction
ec 4.3.3.8 (see R04350, R13116+R11099+R11100)
Reaction class
RC01134  C03927_C04771
Enzyme
Brite
Enzymatic reactions [BR:br08201]
 4. Lyase reactions
  4.3  Carbon-nitrogen lyases
   4.3.3  Amine-lyases
    4.3.3.8
     R13116  L-Mimosine <=> 3-Hydroxy-4H-pyrid-4-one + Dehydroalanine
Other DBs
RHEA: 75362
LinkDB

DBGET integrated database retrieval system