KEGG   REACTION: R13143
Entry
R13143                      Reaction                               
Definition
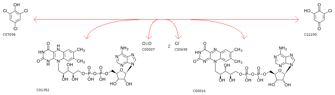
2,4,6-Trichlorophenol + FADH2 + Oxygen <=> 2-Chloro-6-hydroxy-1,4-benzoquinone + 2 Cl- + FAD
Equation
Comment
two-step reaction (see R05449+R13142)
Enzyme
Brite
Enzymatic reactions [BR:br08201]
 1. Oxidoreductase reactions
  1.14  Acting on paired donors, with incorporation or reduction of molecular oxygen
   1.14.14  With reduced flavin or flavoprotein as one donor, and incorporation of one atom of oxygen into the other donor
    1.14.14.173
     R13143  2,4,6-Trichlorophenol + FADH2 + Oxygen <=> 2-Chloro-6-hydroxy-1,4-benzoquinone + 2 Cl- + FAD
LinkDB

DBGET integrated database retrieval system