| Entry |
|
| Name |
very-long-chain acyl-CoA:carbon-dioxide ligase (ADP-forming)
|
| Definition |
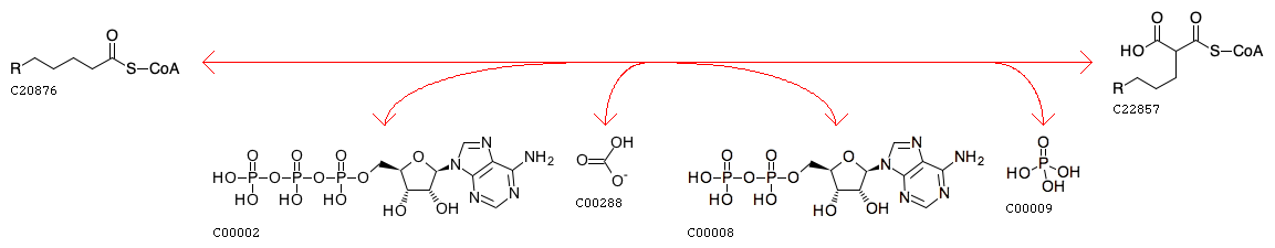
ATP + Very-long-chain acyl-CoA + HCO3- <=> ADP + Orthophosphate + Very-long-chain alpha-carboxyacyl-CoA
|
| Equation |
|
|
 |
| Comment |
general reaction
|
| Reaction class |
|
| Enzyme |
6.4.1.-
|
| Pathway |
| rn01110 | Biosynthesis of secondary metabolites |
|
| Module |
| M00887 | Mycolic acid biosynthesis, meromycolic acid + alpha-carboxyacyl-CoA + trehalose => TMM => TDM/mAGP/GMM |
|
| Brite |
Enzymatic reactions [BR:br08201]
6. Ligase reactions
6.4 Forming carbon-carbon bonds
6.4.1 Ligases that form carbon-carbon bonds (only sub-subclass identified to date)
6.4.1.-
R13256 ATP + Very-long-chain acyl-CoA + HCO3- <=> ADP + Orthophosphate + Very-long-chain alpha-carboxyacyl-CoA
|
| Orthology |
| K11263 | acetyl-CoA/propionyl-CoA/long-chain acyl-CoA carboxylase, biotin carboxylase, biotin carboxyl carrier protein [EC:6.4.1.2 6.4.1.3 6.4.1.- 6.3.4.14] |
| K27093 | long-chain acyl-CoA carboxylase carboxyl transferase subunit [EC:6.4.1.- 2.1.3.-] |
| K27094 | propionyl-CoA/long-chain acyl-CoA carboxylase carboxyl transferase subunit [EC:6.4.1.3 6.4.1.- 2.1.3.15] |
| K27095 | acyl-CoA carboxylase epsilon subunit |
|
| Reference |
|
| Authors |
Gago G, Kurth D, Diacovich L, Tsai SC, Gramajo H |
| Title |
Biochemical and structural characterization of an essential acyl coenzyme A carboxylase from Mycobacterium tuberculosis. |
| Journal |
|
| Reference |
|
| Authors |
Bazet Lyonnet B, Diacovich L, Gago G, Spina L, Bardou F, Lemassu A, Quemard A, Gramajo H |
| Title |
Functional reconstitution of the Mycobacterium tuberculosis long-chain acyl-CoA carboxylase from multiple acyl-CoA subunits. |
| Journal |
|
| Reference |
|
| Authors |
Pawelczyk J, Viljoen A, Kremer L, Dziadek J. |
| Title |
The influence of AccD5 on AccD6 carboxyltransferase essentiality in pathogenic and non-pathogenic Mycobacterium. |
| Journal |
|
| Reference |
|
| Authors |
Oh TJ, Daniel J, Kim HJ, Sirakova TD, Kolattukudy PE |
| Title |
Identification and characterization of Rv3281 as a novel subunit of a biotin-dependent acyl-CoA Carboxylase in Mycobacterium tuberculosis H37Rv. |
| Journal |
|
| LinkDB |
|