| Entry |
|
| Name |
ultra-long-chain-mono-unsaturated-acyl-[acyl-carrier protein]:malonyl-[acyl-carrier protein] C-acyltransferase (decarboxylating)
|
| Definition |
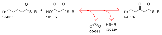
Ultra-long-chain mono-unsaturated acyl-[acyl-carrier protein] + Malonyl-[acyl-carrier protein] <=> Ultra-long-chain mono-unsaturated 3-oxo-fatty acyl-[acyl-carrier protein] + CO2 + Acyl-carrier protein
|
| Equation |
|
|
 |
| Reaction class |
|
| Enzyme |
|
| Pathway |
| rn01110 | Biosynthesis of secondary metabolites |
|
| Module |
| M00885 | Meromycolic acid biosynthesis, initiation and elongation FAS II (KasA) |
| M00886 | Meromycolic acid biosynthesis, initiation and elongation FAS II (KasA and KasB) |
|
| Brite |
Enzymatic reactions [BR:br08201]
2. Transferase reactions
2.3 Acyltransferases
2.3.1 Transferring groups other than aminoacyl groups
2.3.1.293
R13266 Ultra-long-chain mono-unsaturated acyl-[acyl-carrier protein] + Malonyl-[acyl-carrier protein] <=> Ultra-long-chain mono-unsaturated 3-oxo-fatty acyl-[acyl-carrier protein] + CO2 + Acyl-carrier protein
|
| Orthology |
| K11609 | meromycolic acid 3-oxoacyl-[acyl-carrier protein] synthase I [EC:2.3.1.293] |
|
| LinkDB |
|