KEGG   REACTION: R13310
Entry
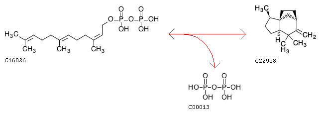
R13310                      Reaction                               
Name
(2Z,6E)-farnesyl-diphosphate diphosphate-lyase (cyclizing, (+)-2-epi-prezizaene-forming)
Definition
2-cis,6-trans-Farnesyl diphosphate <=> (+)-2-epi-Prezizaene + Diphosphate
Equation
Enzyme
Brite
Enzymatic reactions [BR:br08201]
 4. Lyase reactions
  4.2  Carbon-oxygen lyases
   4.2.3  Acting on phosphates
    4.2.3.226
     R13310  2-cis,6-trans-Farnesyl diphosphate <=> (+)-2-epi-Prezizaene + Diphosphate
LinkDB

DBGET integrated database retrieval system