KEGG   REACTION: R13365
Entry
R13365                      Reaction                               
Name
[protein]-lanthionine hydrolase
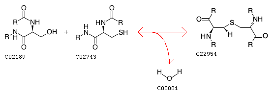
Definition
[Protein]-L-serine + [Protein]-L-cysteine <=> [Protein] with lanthionine crosslink + H2O
Equation
Comment
two-step reaction (see R13366+R13367)
Enzyme
Brite
Enzymatic reactions [BR:br08201]
 3. Hydrolase reactions
  3.13  Acting on carbon-sulfur bonds
   3.13.2  Thioether and trialkylsulfonium hydrolases
    3.13.2.4
     R13365  [Protein]-L-serine + [Protein]-L-cysteine <=> [Protein] with lanthionine crosslink + H2O
LinkDB

DBGET integrated database retrieval system