| Entry |
|
| Definition |
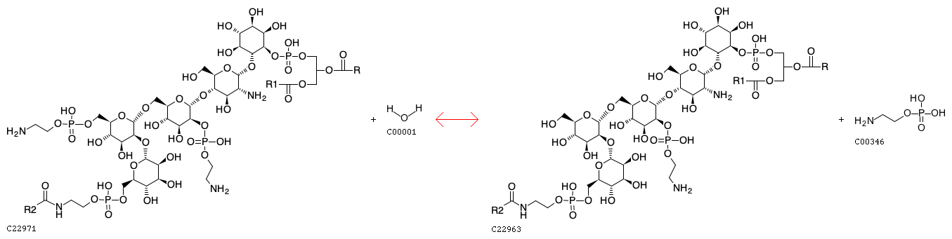
C22971 + H2O <=> C22963 + Ethanolamine phosphate
|
| Equation |
|
|
 |
| Comment |
ethanolamine phosphate phosphodiesterase
|
| Enzyme |
3.1.-.-
|
| Pathway |
| rn00563 | Glycosylphosphatidylinositol (GPI)-anchor biosynthesis |
|
| Module |
|
| Brite |
Enzymatic reactions [BR:br08201]
3. Hydrolase reactions
3.1 Acting on ester bonds
3.1.- Acting on ester bonds
3.1.-.-
R13399 C22971 + H2O <=> C22963 + Ethanolamine phosphate
|
| Orthology |
| K23362 | ethanolamine phosphate phosphodiesterase [EC:3.1.-.-] |
|
| Reference |
|
| Authors |
Fujita M |
| Title |
[Biosynthesis and remodeling of GPI-anchored proteins]. |
| Journal |
Seikagaku 85:985-95 (2013) |
| LinkDB |
|