KEGG   REACTION: R13416
Entry
R13416                      Reaction                               
Name
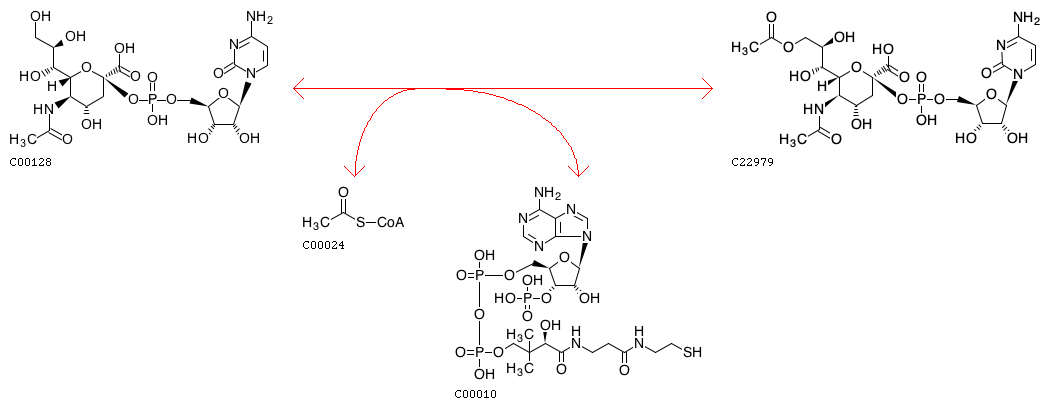
acetyl-CoA:CMP-N-acetyl-beta-neuraminate 9-O-acetyltransferase
Definition
Acetyl-CoA + CMP-N-acetylneuraminate <=> CoA + CMP-N-acetyl-9-O-acetyl-beta-neuraminate
Equation
Reaction class
RC00041  C00128_C22979
Enzyme
Brite
Enzymatic reactions [BR:br08201]
 2. Transferase reactions
  2.3  Acyltransferases
   2.3.1  Transferring groups other than aminoacyl groups
    2.3.1.45
     R13416  Acetyl-CoA + CMP-N-acetylneuraminate <=> CoA + CMP-N-acetyl-9-O-acetyl-beta-neuraminate
Orthology
K03377  N-acetylneuraminate 9-O-acetyltransferase [EC:2.3.1.45]
Reference
1  [PMID:26169044]
  Authors
Baumann AM, Bakkers MJ, Buettner FF, Hartmann M, Grove M, Langereis MA, de Groot RJ, Muhlenhoff M
  Title
9-O-Acetylation of sialic acids is catalysed by CASD1 via a covalent acetyl-enzyme intermediate.
  Journal
Nat Commun 6:7673 (2015)
DOI:10.1038/ncomms8673
LinkDB

DBGET integrated database retrieval system