 | | REACTION: R13479 | |
| Entry |
|
| Name |
|
| Definition |
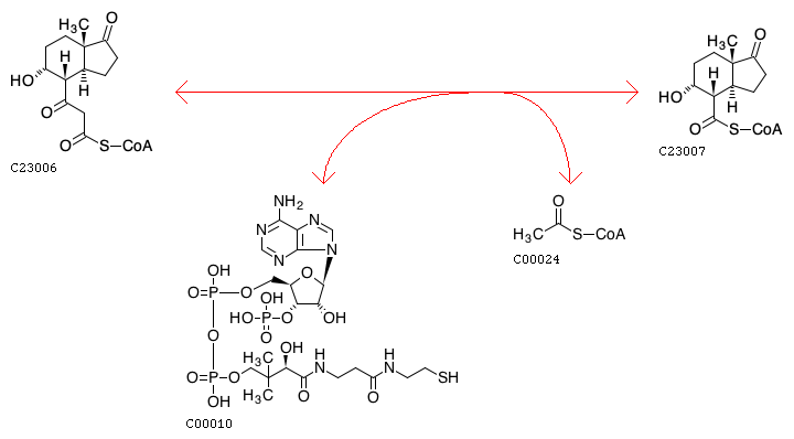
3-[(3aS,4S,5R,7aS)-5-Hydroxy-7a-methyl-1-oxooctahydro-1H-inden-4-yl]-3-oxopropanoyl-CoA + CoA <=> (3aS,4S,5R,7aS)-5-Hydroxy-7a-methyl-1-oxooctahydro-1H-indene-4-carboxyl-CoA + Acetyl-CoA
|
| Equation |
|
|
 |
| Enzyme |
|
| Pathway |
| rn01120 | Microbial metabolism in diverse environments |
|
| Brite |
Enzymatic reactions [BR:br08201]
2. Transferase reactions
2.3 Acyltransferases
2.3.1 Transferring groups other than aminoacyl groups
2.3.1.16
R13479 3-[(3aS,4S,5R,7aS)-5-Hydroxy-7a-methyl-1-oxooctahydro-1H-inden-4-yl]-3-oxopropanoyl-CoA + CoA <=> (3aS,4S,5R,7aS)-5-Hydroxy-7a-methyl-1-oxooctahydro-1H-indene-4-carboxyl-CoA + Acetyl-CoA
IUBMB reaction hierarchy [BR:br08202]
2. Transferase reactions
2.3.1.16
R00391 Acyl-CoA <=> 3-Oxoacyl-CoA
R13479 (3aS,4S,5R,7aS)-5-Hydroxy-7a-methyl-1-oxooctahydro-1H-indene-4-carboxyl-CoA <=> 3-[(3aS,4S,5R,7aS)-5-Hydroxy-7a-methyl-1-oxooctahydro-1H-inden-4-yl]-3-oxopropanoyl-CoA
|
| Orthology |
|
| Reference |
|
| Authors |
Horinouchi M, Koshino H, Malon M, Hirota H, Hayashi T. |
| Title |
Steroid Degradation in Comamonas testosteroni TA441: Identification of the Entire beta-Oxidation Cycle of the Cleaved B Ring. |
| Journal |
|
| LinkDB |
|
|
|