KEGG   REACTION: R13483
Entry
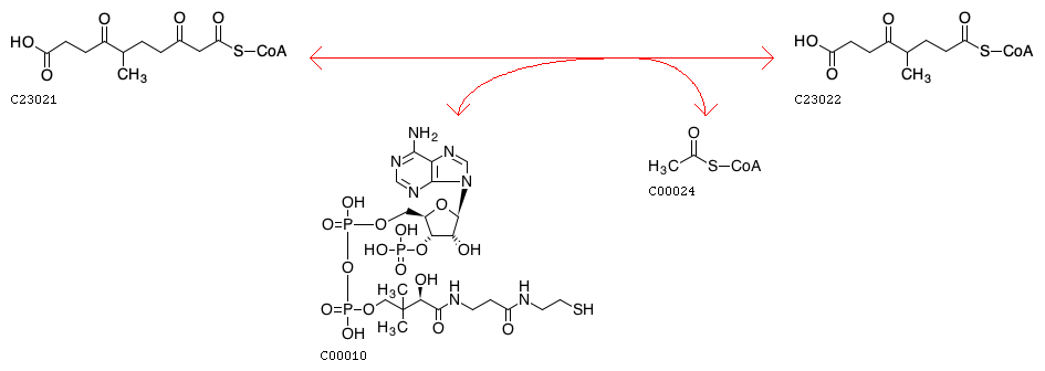
R13483                      Reaction                               
Name
MOODA-CoA:acetyl-CoA C-acyltransferase
Definition
9-Carboxy-6-methyl-3,7-dioxononanoyl-CoA + CoA <=> 7-Carboxy-4-methyl-5-oxoheptanoyl-CoA + Acetyl-CoA
Equation
Enzyme
Pathway
rn00984  Steroid degradation
rn01120  Microbial metabolism in diverse environments
Brite
Enzymatic reactions [BR:br08201]
 2. Transferase reactions
  2.3  Acyltransferases
   2.3.1  Transferring groups other than aminoacyl groups
    2.3.1.16
     R13483  9-Carboxy-6-methyl-3,7-dioxononanoyl-CoA + CoA <=> 7-Carboxy-4-methyl-5-oxoheptanoyl-CoA + Acetyl-CoA
IUBMB reaction hierarchy [BR:br08202]
 2. Transferase reactions
  2.3.1.16
   R00391  Acyl-CoA <=> 3-Oxoacyl-CoA
    R13483  7-Carboxy-4-methyl-5-oxoheptanoyl-CoA <=> 9-Carboxy-6-methyl-3,7-dioxononanoyl-CoA
Orthology
K00632  acetyl-CoA acyltransferase [EC:2.3.1.16]
Reference
1  [PMID:34232729]
  Authors
Horinouchi M, Hayashi T.
  Title
Identification of the Coenzyme A (CoA) Ester Intermediates and Genes Involved in  the Cleavage and Degradation of the Steroidal C-Ring by Comamonas testosteroni  TA441.
  Journal
Appl Environ Microbiol 87:e0110221 (2021)
DOI:10.1128/AEM.01102-21
LinkDB

DBGET integrated database retrieval system