KEGG   REACTION: R13570
Entry
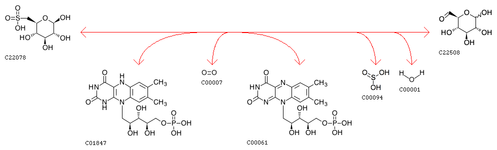
R13570                      Reaction                               
Name
6-sulfo-beta-D-quinovose,FMNH2:oxygen oxidoreductase
Definition
6-Sulfo-beta-D-quinovose + Reduced FMN + Oxygen <=> 6-Dehydro-D-glucose + FMN + Sulfite + H2O
Equation
Enzyme
Brite
Enzymatic reactions [BR:br08201]
 1. Oxidoreductase reactions
  1.14  Acting on paired donors, with incorporation or reduction of molecular oxygen
   1.14.14  With reduced flavin or flavoprotein as one donor, and incorporation of one atom of oxygen into the other donor
    1.14.14.181
     R13570  6-Sulfo-beta-D-quinovose + Reduced FMN + Oxygen <=> 6-Dehydro-D-glucose + FMN + Sulfite + H2O
IUBMB reaction hierarchy [BR:br08202]
 1. Oxidoreductase reactions
  1.14.14.181
   R13017  Sulfoquinovose
    R13570  6-Sulfo-beta-D-quinovose
Orthology
K26058  sulfoquinovose monooxygenase [EC:1.14.14.181]
Reference
1  [PMID:35074914]
  Authors
Sharma M, Lingford JP, Petricevic M, Snow AJD, Zhang Y, Jarva MA, Mui JW, Scott NE, Saunders EC, Mao R, Epa R, da Silva BM, Pires DEV, Ascher DB, McConville MJ, Davies GJ, Williams SJ, Goddard-Borger ED.
  Title
Oxidative desulfurization pathway for complete catabolism of sulfoquinovose by bacteria.
  Journal
Proc Natl Acad Sci U S A 119:e2116022119 (2022)
DOI:10.1073/pnas.2116022119
LinkDB

DBGET integrated database retrieval system