| Entry |
|
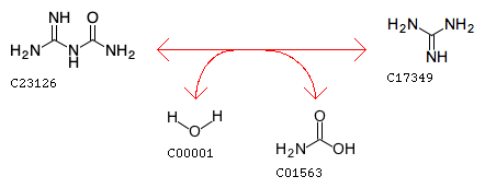
| Definition |
Carbamate <=> Ammonia + CO2
|
| Equation |
|
|
 |
| Comment |
|
| Enzyme |
|
| Pathway |
|
| Brite |
Enzymatic reactions [BR:br08201]
3. Hydrolase reactions
3.5 Acting on carbon-nitrogen bonds, other than peptide bonds
3.5.1 In linear amides
3.5.1.110
R07316 Carbamate <=> Ammonia + CO2
3.5.1.139
R07316 Carbamate <=> Ammonia + CO2
4. Lyase reactions
4.2 Carbon-oxygen lyases
4.2.1 Hydro-lyases
4.2.1.104
R07316 Carbamate <=> Ammonia + CO2
|
| Other DBs |
|
| LinkDB |
|