KEGG   COMPOUND: C13044
Entry
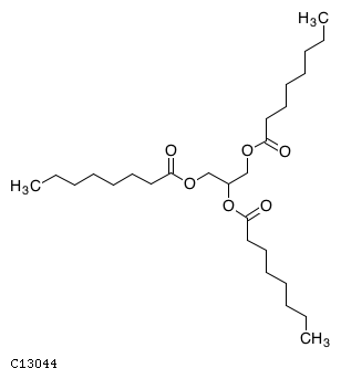
C13044                      Compound                               
Name
Tricaprilin;
Trioctanoylglycerol
Formula
C27H50O6
Exact mass
470.3607
Mol weight
470.68
Structure
Remark
Same as: D01587
Brite
Lipids [BR:br08002]
 GL  Glycerolipids
  GL03 Triradylglycerols
   GL0301 Triacylglycerols
    C13044  Trioctanoyl-sn-glycerol
Other DBs
CAS: 538-23-8
PubChem: 583433
NIKKAJI: J54.226A
LinkDB
KCF data

ATOM        33
            1   C1b C    34.2191  -25.4467
            2   C1b C    35.4389  -26.1349
            3   C1b C    35.4545  -27.5313
            4   C1b C    36.6743  -28.2195
            5   C1b C    36.6898  -29.6159
            6   C1b C    37.9098  -30.3041
            7   C1a C    37.9253  -31.7005
            8   C7a C    34.2242  -24.0467
            9   C1b C    28.1558  -21.9310
            10  C1b C    26.9319  -21.2498
            11  C1b C    25.7329  -21.9656
            12  C1b C    24.5090  -21.2845
            13  C1b C    23.3099  -22.0003
            14  C1b C    22.0860  -21.3191
            15  C1a C    20.8869  -22.0348
            16  C7a C    29.3672  -21.2360
            17  O7a O    30.5790  -21.9383
            18  O6a O    29.3695  -19.8325
            19  C1b C    35.4375  -17.7450
            20  C1b C    36.6493  -17.0427
            21  C1b C    36.7137  -15.6420
            22  C1b C    37.8555  -14.9398
            23  C1b C    37.8499  -13.5391
            24  C1b C    39.0619  -12.8368
            25  C1a C    39.0563  -11.4361
            26  O7a O    34.2213  -19.8405
            27  C7a C    35.4326  -19.1457
            28  O6a O    36.6444  -19.8480
            29  C1b C    31.7957  -21.2386
            30  C1c C    33.0076  -21.9409
            31  O7a O    33.0081  -23.3380
            32  C1b C    34.2235  -21.2398
            33  O6a O    35.4367  -23.3405
BOND        32
            1    16  18 2
            2    16   9 1
            3     9  10 1
            4     4   5 1
            5    19  20 1
            6    10  11 1
            7    20  21 1
            8     8   1 1
            9    21  22 1
            10   11  12 1
            11   22  23 1
            12    5   6 1
            13   23  24 1
            14   12  13 1
            15   24  25 1
            16    2   3 1
            17   13  14 1
            18   26  27 1
            19    6   7 1
            20   27  28 2
            21   27  19 1
            22   14  15 1
            23   29  30 1
            24    3   4 1
            25   30  31 1
            26   31   8 1
            27   16  17 1
            28   30  32 1
            29    1   2 1
            30    8  33 2
            31   32  26 1
            32   29  17 1

» Japanese version

DBGET integrated database retrieval system