KEGG   COMPOUND: C00480
エントリ  
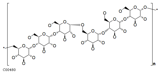
C00480                      Compound                               
名称    
プルラン;
Pullulan
組成式   
(C36H60O30)n
構造式   
コード   
同一コード: D05363
階層分類  
日本薬局方収載医薬品 [BR:jp08311]
 化学薬品等
  D05363  プルランカプセル
  D05363  プルラン
リンク   
CAS: 9057-02-7
PubChem: 3763
日化辞: J209.248D
LinkDB    

» English version

DBGET integrated database retrieval system