 | | COMPOUND: C12669 | |
| エントリ |
|
| 名称 |
|
| 組成式 |
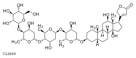
C47H74O19
|
| 質量 |
942.4824
|
| 分子量 |
943.08
|
| 構造式 |

|
| コード |
|
| 階層分類 |
医療用医薬品の薬効分類 [BR:jp08301]
2 個々の器官系用医薬品
21 循環器官用薬
211 強心剤
2113 ジギタリス製剤
D01240 デスラノシド (JP18)
医療用医薬品のATC分類 [BR:jp08303]
C 循環器系
C01 心疾患治療
C01A 強心配糖体
C01AA ジギタリス配糖体
C01AA07 デスラノシド
D01240 デスラノシド (JP18) <JP>
医薬品グループ [BR:jp08330]
心血管系用薬
DG01703 強心薬
DG01698 強心配糖体
DG01697 ジギタリス強心配糖体
D01240 デスラノシド
DG01653 抗不整脈薬
D01240 デスラノシド
医薬品クラス [BR:jp08332]
心血管系用薬
DG01653 抗不整脈薬 [商品一覧]
D01240 デスラノシド
ターゲットに基づく医薬品分類 [BR:jp08310]
酵素
ヒドロラーゼ (EC3)
ATPアーゼ
ATP1A
D01240 デスラノシド (JP18) <JP>
日本薬局方収載医薬品 [BR:jp08311]
化学薬品等
D01240 デスラノシド
D01240 デスラノシド注射液
|
| リンク |
|
| LinkDB |
|
|
» English version
|
DBGET integrated database retrieval system