KEGG   COMPOUND: C18661
エントリ  
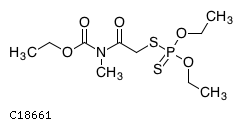
C18661                      Compound                               
名称    
メカルバム;
Mecarbam
組成式   
C10H20NO5PS2
質量    
329.0521
分子量   
329.38
構造式   
階層分類  
農薬 [BR:jp08007]
 農薬
  殺虫剤
   有機リン系殺虫剤
    C18661  メカルバム
リンク   
CAS: 2595-54-2
PubChem: 124489335
LinkDB    

» English version

DBGET integrated database retrieval system