 | | DRUG: ブレビルチド酢酸塩 | |
| エントリ |
|
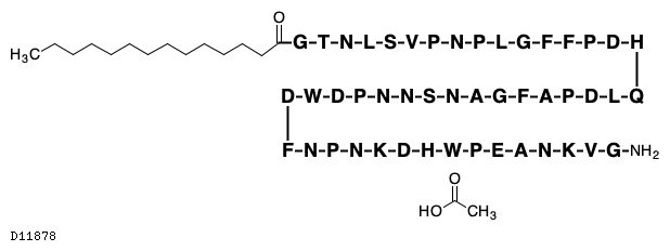
| 一般名 |
ブレビルチド酢酸塩; Bulevirtide acetate |
| 構造式 |
 |
| コード |
|
| 効能 |
抗ウイルス薬, 侵入阻害薬 |
| タイプ |
修飾ペプチド |
| ターゲット |
HDV antigen |
| 階層分類 |
医療用医薬品のATC分類 [BR:jp08303]
J 全身用抗感染薬
J05 全身用抗ウイルス薬
J05A 直接作用型抗ウイルス薬
J05AX その他の抗ウイルス薬
J05AX28 ブレビルチド
D11878 ブレビルチド酢酸塩
抗微生物薬 [BR:jp08307]
抗ウイルス薬
侵入・融合・脱核阻害薬
肝炎ウイルス抗原
D11878 ブレビルチド酢酸塩
日本・米国・欧州の新薬 [jp08328.html]
日米欧での承認状況
D11878
|
| リンク |
|
| LinkDB |
|
|
» English version » Back
|
DBGET integrated database retrieval system