KEGG   COMPOUND: C02015
Entry
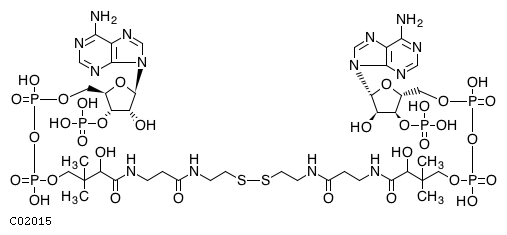
C02015                      Compound                               
Name
CoA-disulfide
Formula
C42H70N14O32P6S2
Exact mass
1532.2148
Mol weight
1533.06
Structure
Reaction
Enzyme
Other DBs
PubChem: 5111
ChEBI: 16161
PDB-CCD: 5NG[PDBj]
NIKKAJI: J482.279J
LinkDB
KCF data

ATOM        96
            1   N4y N    18.7948  -18.1721
            2   C1y C    18.2616  -20.3792
            3   C8y C    16.5687  -18.1721
            4   C8x C    18.7948  -16.8905
            5   O2x O    17.2140  -19.6216
            6   C1y C    17.8780  -21.5765
            7   C8y C    16.5687  -16.8905
            8   N5x N    15.4555  -18.8266
            9   N5x N    17.6816  -16.2452
            10  C1y C    16.1852  -20.3608
            11  C1y C    16.5874  -21.5765
            12  O1a O    18.6264  -22.5961
            13  C8y C    15.4555  -16.2547
            14  C8x C    14.3613  -18.1721
            15  C1b C    14.9879  -19.9865
            16  O2b O    15.9326  -22.4839
            17  N5x N    14.3613  -16.8905
            18  N1a N    15.4555  -14.9825
            19  O2b O    13.2576  -20.8097
            20  P1b P    14.5859  -22.4746
            21  P1b P    11.2278  -20.7584
            22  O1c O    14.5251  -21.0717
            23  O1c O    13.3417  -22.5026
            24  O1c O    14.5764  -23.7465
            25  O2c O    11.2278  -23.4522
            26  O1c O    11.1673  -19.4768
            27  O1c O     9.9560  -20.8097
            28  P1b P    11.1673  -26.4629
            29  O2b O    12.4861  -26.4349
            30  O1c O    11.1766  -27.8660
            31  O1c O     9.8860  -26.4349
            32  C1b C    13.5804  -25.7989
            33  C1d C    14.6841  -26.4349
            34  C1c C    15.7878  -25.7989
            35  C1a C    14.6653  -27.5666
            36  C1a C    14.7261  -25.1254
            37  C5a C    16.8822  -26.4349
            38  O1a O    15.8485  -24.5267
            39  N1b N    17.9860  -25.7989
            40  O5a O    16.8822  -27.7071
            41  C1b C    19.0802  -26.4349
            42  C1b C    20.1839  -25.7989
            43  C5a C    21.2784  -26.4349
            44  N1b N    22.3818  -25.7989
            45  O5a O    21.2784  -27.7071
            46  C1b C    23.4855  -26.4349
            47  C1b C    24.5800  -25.7989
            48  S3a S    25.6742  -26.4349
            49  S3a S    27.3860  -26.4349
            50  C1b C    28.4803  -25.7989
            51  C1b C    29.5840  -26.4349
            52  N1b N    30.6784  -25.7989
            53  C5a C    31.7821  -26.4349
            54  C1b C    32.8859  -25.7989
            55  O5a O    31.7821  -27.7071
            56  C1b C    33.9801  -26.4349
            57  N1b N    35.0838  -25.7989
            58  C5a C    36.1783  -26.4349
            59  C1c C    37.2820  -25.7989
            60  O5a O    36.1783  -27.7071
            61  C1d C    38.3762  -26.4349
            62  O1a O    37.2820  -24.5267
            63  C1b C    39.4799  -25.7989
            64  C1a C    38.3949  -27.5666
            65  C1a C    38.3341  -25.1254
            66  O2b O    40.5744  -26.4349
            67  P1b P    41.8932  -26.4629
            68  O2c O    41.8324  -23.5922
            69  O1c O    41.8511  -27.9596
            70  O1c O    43.1745  -26.4349
            71  P1b P    41.8324  -20.8984
            72  O2b O    39.8121  -20.9497
            73  O1c O    41.8932  -19.6168
            74  O1c O    43.1138  -20.9497
            75  C1b C    38.0724  -20.1265
            76  C1y C    36.8846  -20.5008
            77  C1y C    36.4823  -21.7165
            78  O2x O    35.8462  -19.7616
            79  C1y C    35.1822  -21.7165
            80  O2b O    37.1276  -22.6239
            81  C1y C    34.7987  -20.5192
            82  O1a O    34.4338  -22.7361
            83  P1b P    38.4838  -22.6146
            84  N4y N    33.5922  -18.4054
            85  O1c O    38.5210  -21.2678
            86  O1c O    39.7186  -22.6426
            87  O1c O    38.4933  -23.9565
            88  C8y C    35.8088  -18.4054
            89  C8x C    33.5827  -17.1240
            90  C8y C    35.8088  -17.1240
            91  N5x N    36.9220  -19.0510
            92  N5x N    34.6959  -16.4787
            93  C8y C    36.9220  -16.4880
            94  C8x C    38.0257  -18.4054
            95  N5x N    38.0257  -17.1240
            96  N1a N    36.9220  -15.2161
BOND        101
            1     2   1 1 #Up
            2     1   3 1
            3     1   4 1
            4     2   5 1
            5     2   6 1
            6     3   7 2
            7     3   8 1
            8     4   9 2
            9     5  10 1
            10    6  11 1
            11    6  12 1 #Down
            12    7  13 1
            13    8  14 2
            14   10  15 1 #Up
            15   11  16 1 #Down
            16   13  17 2
            17   13  18 1
            18   15  19 1
            19   16  20 1
            20   19  21 1
            21   20  22 1
            22   20  23 1
            23   20  24 2
            24   21  25 1
            25   21  26 1
            26   21  27 2
            27   25  28 1
            28   28  29 1
            29   28  30 1
            30   28  31 2
            31   29  32 1
            32   32  33 1
            33   33  34 1
            34   33  35 1
            35   33  36 1
            36   34  37 1
            37   34  38 1
            38   37  39 1
            39   37  40 2
            40   39  41 1
            41   41  42 1
            42   42  43 1
            43   43  44 1
            44   43  45 2
            45   44  46 1
            46   46  47 1
            47   47  48 1
            48   48  49 1
            49   49  50 1
            50   50  51 1
            51   51  52 1
            52   52  53 1
            53   53  54 1
            54   53  55 2
            55   54  56 1
            56   56  57 1
            57   57  58 1
            58   58  59 1
            59   58  60 2
            60   59  61 1
            61   59  62 1
            62   61  63 1
            63   61  64 1
            64   61  65 1
            65   63  66 1
            66   66  67 1
            67   67  68 1
            68   67  69 1
            69   67  70 2
            70   68  71 1
            71   71  72 1
            72   71  73 1
            73   71  74 2
            74   72  75 1
            75   76  75 1 #Down
            76   76  77 1
            77   76  78 1
            78   77  79 1
            79   77  80 1 #Up
            80   78  81 1
            81   79  82 1 #Up
            82   80  83 1
            83   81  84 1 #Down
            84   83  85 1
            85   83  86 1
            86   83  87 2
            87   84  88 1
            88   84  89 1
            89   88  90 2
            90   88  91 1
            91   89  92 2
            92   90  93 1
            93   91  94 2
            94   93  95 2
            95   93  96 1
            96    7   9 1
            97   10  11 1
            98   14  17 1
            99   79  81 1
            100  90  92 1
            101  94  95 1

» Japanese version

DBGET integrated database retrieval system