REACTION: R07175
Help
Entry
R07175 Reaction
Name
CoA:NADP+ oxidoreductase
Definition
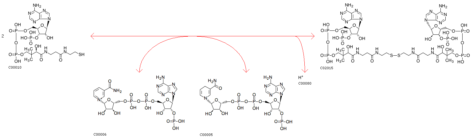
2 CoA + NADP+ <=> CoA-disulfide + NADPH + H+
Equation
2
C00010
+
C00006
<=>
C02015
+
C00005
+
C00080
Reaction class
RC00001
C00005_C00006
RC00011
C00010_C02015
Enzyme
1.8.1.14
Brite
Enzymatic reactions [BR:
br08201
]
1. Oxidoreductase reactions
1.8 Acting on a sulfur group of donors
1.8.1 With NAD+ or NADP+ as acceptor
1.8.1.14
R07175 2 CoA + NADP+ <=> CoA-disulfide + NADPH + H+
BRITE hierarchy
Other DBs
RHEA:
14708
LinkDB
All DBs
DBGET
integrated database retrieval system