| Entry |
|
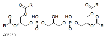
| Name |
Cardiolipin;
Diphosphatidylglycerol;
1',3'-Bis(1,2-diacyl-sn-glycero-3-phospho)-sn-glycerol
|
| Formula |
C13H18O17P2R4
|
| Structure |

|
| Remark |
|
| Comment |
Generic compound in reaction hierarchy
|
| Reaction |
|
| Pathway |
|
| Enzyme |
|
| Brite |
Compounds with biological roles [BR:br08001]
Lipids
Phospholipids
Glycerophospholipids
C05980 Diphosphatidylglycerol; Cardiolipin
Lipids [BR:br08002]
GP Glycerophospholipids
GP12 Glycerophosphoglycerophosphoglycerols
GP1201 Diacylglycerophosphoglycerophosphodiradylglycerols
C05980 1',3'-Bis(1,2-diacyl-sn-glycero-3-phospho)-sn-glycerol
Anatomical Therapeutic Chemical (ATC) classification [BR:br08303]
A ALIMENTARY TRACT AND METABOLISM
A05 BILE AND LIVER THERAPY
A05B LIVER THERAPY, LIPOTROPICS
A05BA Liver therapy
A05BA10 Phospholipids
C05980 Cardiolipin
|
| Other DBs |
|
| LinkDB |
|
| KCF data |
ATOM 36
1 P1b P 30.9955 -22.7727
2 O2b O 32.4029 -22.7727
3 O2b O 29.5999 -22.7784
4 O1c O 30.9898 -21.3712
5 O1c O 30.9898 -24.1740
6 C1b C 33.6152 -23.4704
7 C1b C 28.3877 -23.4761
8 C1c C 34.8275 -22.7727
9 C1c C 27.1754 -22.7784
10 O7a O 36.0399 -23.4704
11 C1b C 34.8275 -21.3712
12 C1b C 25.9630 -23.4761
13 O1a O 27.1754 -21.3771
14 C7a C 37.2581 -22.7727
15 O7a O 36.0399 -20.6735
16 O2b O 24.7448 -22.7784
17 O6a O 37.2581 -21.3712
18 R R 38.4634 -23.4704
19 C7a C 36.0399 -19.2720
20 P1b P 23.3433 -22.7784
21 O6a O 34.8275 -18.5685
22 R R 37.2581 -18.5685
23 O2b O 21.9479 -22.7843
24 O1c O 23.3375 -21.3771
25 O1c O 23.3375 -24.1799
26 C1b C 20.7295 -23.4820
27 C1c C 19.5172 -22.7843
28 O7a O 18.3050 -23.4820
29 C1b C 19.5172 -21.3828
30 C7a C 17.0925 -22.7843
31 O7a O 20.7295 -20.6851
32 O6a O 17.0925 -21.3828
33 R R 15.8994 -23.4820
34 C7a C 20.7295 -19.2836
35 O6a O 19.5172 -18.5859
36 R R 21.9479 -18.5859
BOND 35
1 1 2 1
2 1 3 1
3 1 4 1
4 1 5 2
5 2 6 1
6 3 7 1
7 6 8 1
8 7 9 1
9 8 10 1 #Up
10 8 11 1
11 9 12 1
12 9 13 1
13 10 14 1
14 11 15 1
15 12 16 1
16 14 17 2
17 14 18 1
18 15 19 1
19 16 20 1
20 19 21 2
21 19 22 1
22 20 23 1
23 20 24 1
24 20 25 2
25 23 26 1
26 26 27 1
27 27 28 1 #Down
28 27 29 1
29 28 30 1
30 29 31 1
31 30 32 2
32 30 33 1
33 31 34 1
34 34 35 2
35 34 36 1
|