| Entry |
|
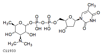
| Name |
dTDP-D-mycaminose;
dTDP-alpha-D-mycaminose
|
| Formula |
C18H31N3O14P2
|
| Exact mass |
575.1281
|
| Mol weight |
575.40
|
| Structure |

|
| Reaction |
|
| Pathway |
| map00522 | Biosynthesis of 12-, 14- and 16-membered macrolides |
| map00523 | Polyketide sugar unit biosynthesis |
| map01110 | Biosynthesis of secondary metabolites |
| map01250 | Biosynthesis of nucleotide sugars |
|
| Module |
| M00796 | dTDP-D-mycaminose biosynthesis |
|
| Enzyme |
|
| Brite |
Nucleotide sugars [br08020.html]
Monosaccharides vs nucleotides
C11933
|
| Other DBs |
|
| LinkDB |
|
| KCF data |
ATOM 37
1 C1y C 32.0253 -20.4767
2 N4y N 33.3676 -20.0323
3 O2x O 30.9280 -19.6779
4 C1x C 31.6114 -21.8540
5 C8y C 34.4243 -20.9723
6 C8x C 33.6593 -18.6550
7 C1y C 29.7851 -20.5188
8 C1y C 30.2050 -21.8540
9 N4x N 35.7724 -20.5362
10 O5x O 34.1504 -22.3508
11 C8y C 34.9900 -18.2189
12 C1b C 28.4486 -20.0802
13 O1a O 29.3769 -22.9876
14 C8y C 36.0581 -19.1589
15 C1a C 35.2710 -16.8416
16 O2b O 27.4035 -21.0131
17 O5x O 37.3947 -18.7145
18 P1b P 26.0100 -21.0131
19 O2c O 24.6023 -21.0131
20 O1c O 25.9971 -22.4208
21 O1c O 25.9971 -19.6124
22 P1b P 23.1957 -21.0131
23 O2b O 21.8022 -21.0131
24 O1c O 23.1970 -22.4208
25 O1c O 23.1970 -19.6124
26 C1y C 20.6044 -21.7025
27 C1y C 20.5928 -23.0927
28 O2x O 19.4136 -21.0144
29 C1y C 19.3903 -23.7677
30 O1a O 21.8069 -23.7981
31 C1y C 18.2183 -21.6918
32 C1y C 18.2066 -23.0680
33 N1c N 19.3857 -25.1756
34 C1a C 17.0334 -21.0028
35 O1a O 16.9798 -23.7574
36 C1a C 18.1588 -25.8623
37 C1a C 20.5939 -25.8824
BOND 39
1 1 3 1
2 1 4 1
3 2 5 1
4 2 6 1
5 3 7 1
6 4 8 1
7 5 9 1
8 5 10 2
9 6 11 2
10 7 12 1 #Up
11 8 13 1 #Down
12 9 14 1
13 11 15 1
14 12 16 1
15 14 17 2
16 16 18 1
17 18 19 1
18 18 20 1
19 18 21 2
20 19 22 1
21 22 23 1
22 22 24 1
23 22 25 2
24 26 23 1 #Down
25 26 27 1
26 26 28 1
27 27 29 1
28 27 30 1 #Down
29 28 31 1
30 29 32 1
31 29 33 1 #Up
32 31 34 1 #Up
33 32 35 1 #Down
34 7 8 1
35 11 14 1
36 31 32 1
37 33 36 1
38 1 2 1 #Up
39 33 37 1
|