KEGG   COMPOUND: C21113
Entry
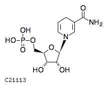
C21113                      Compound                               
Name
NMNH;
Reduced nicotinamide nucleotide
Formula
C11H17N2O8P
Exact mass
336.0723
Mol weight
336.23
Structure
Reaction
Enzyme
Other DBs
PubChem: 312642082
LinkDB
KCF data

ATOM        22
            1   C1y C    19.5999  -18.1124
            2   N1y N    20.5334  -15.8959
            3   O2x O    18.4975  -17.3307
            4   C1y C    19.1801  -19.4016
            5   C2x C    21.7116  -15.2076
            6   C2x C    19.3609  -15.2076
            7   C1y C    17.4125  -18.1124
            8   C1y C    17.8151  -19.4016
            9   O1a O    19.9733  -20.4924
            10  C2y C    21.7116  -13.8367
            11  C2x C    19.3609  -13.8367
            12  C1b C    16.1292  -17.6866
            13  O1a O    17.0275  -20.4924
            14  C1x C    20.5334  -13.1600
            15  C5a C    22.8840  -13.1600
            16  O2b O    15.8609  -16.3684
            17  N1a N    24.0565  -13.8309
            18  O5a O    22.8783  -11.8827
            19  P1b P    14.5017  -16.3684
            20  O1c O    13.1484  -16.3684
            21  O1c O    14.4960  -17.7157
            22  O1c O    14.5017  -14.9451
BOND        23
            1     1   2 1 #Up
            2     1   3 1
            3     1   4 1
            4     2   5 1
            5     2   6 1
            6     3   7 1
            7     4   8 1
            8     4   9 1 #Down
            9     5  10 2
            10    6  11 2
            11    7  12 1 #Up
            12    8  13 1 #Down
            13   10  14 1
            14   10  15 1
            15   12  16 1
            16   15  17 1
            17   15  18 2
            18   16  19 1
            19   19  20 1
            20   19  21 2
            21   19  22 1
            22    7   8 1
            23   11  14 1

» Japanese version

DBGET integrated database retrieval system