KEGG   REACTION: R11104
Entry
R11104                      Reaction                               
Name
NADH phosphohydrolase
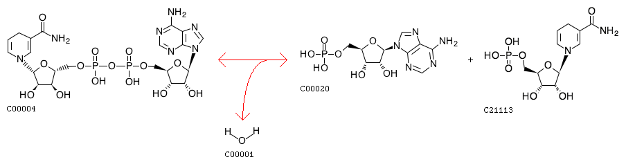
Definition
NADH + H2O <=> AMP + NMNH
Equation
Reaction class
RC00002  C00004_C00020  C00004_C21113
Enzyme
Brite
Enzymatic reactions [BR:br08201]
 3. Hydrolase reactions
  3.6  Acting on acid anhydrides
   3.6.1  In phosphorus-containing anhydrides
    3.6.1.22
     R11104  NADH + H2O <=> AMP + NMNH
Orthology
K03426  NAD+ diphosphatase [EC:3.6.1.22]
Other DBs
RHEA: 48871
LinkDB

DBGET integrated database retrieval system