KEGG   COMPOUND: C21456
Entry
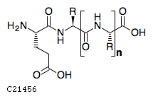
C21456                      Compound                               
Name
L-Glutamyl-protein;
N-Terminal L-glutamyl-[protein]
Formula
C7H11N2O5R(C2H2NOR)n
Structure
Reaction
Enzyme
2.3.2.29        3.5.1.122
Other DBs
PubChem: 329728079
LinkDB
KCF data

ATOM        20
            1   N1b N    19.2500  -16.1700
            2   C1c C    20.4400  -15.4700
            3   C5a C    21.7000  -16.1700
            4   N1b N    22.8900  -15.4700
            5   O5a O    21.7000  -17.5700
            6   C1c C    24.0800  -16.1700
            7   R   R    24.0800  -17.5700
            8   C6a C    25.3400  -15.4700
            9   O6a O    25.3400  -14.0700
            10  O6a O    26.5300  -16.1700
            11  R   R    20.4400  -14.0700
            12  C5a C    18.0376  -15.4700
            13  C1c C    16.8251  -16.1700
            14  O5a O    18.0376  -14.0700
            15  N1a N    15.6127  -15.4700
            16  C1b C    16.8251  -17.5700
            17  C1b C    18.0375  -18.2700
            18  C6a C    18.0375  -19.6700
            19  O6a O    19.2500  -20.3700
            20  O6a O    16.8421  -20.3604
BOND        19
            1     1   2 1
            2     2   3 1
            3     3   4 1
            4     3   5 2
            5     4   6 1
            6     6   7 1 #Down
            7     6   8 1
            8     8   9 2
            9     8  10 1
            10    2  11 1 #Up
            11    1  12 1
            12   12  13 1
            13   12  14 2
            14   13  15 1
            15   13  16 1 #Down
            16   16  17 1
            17   17  18 1
            18   18  19 1
            19   18  20 2
BRACKET     1    21.5600  -18.4800   21.5600  -14.0000
            1    24.2200  -14.0000   24.2200  -18.4800
            1  n
 ORIGINAL  1    3   4   5   6   7
 REPEAT    1

» Japanese version

DBGET integrated database retrieval system