KEGG   COMPOUND: C21461
Entry
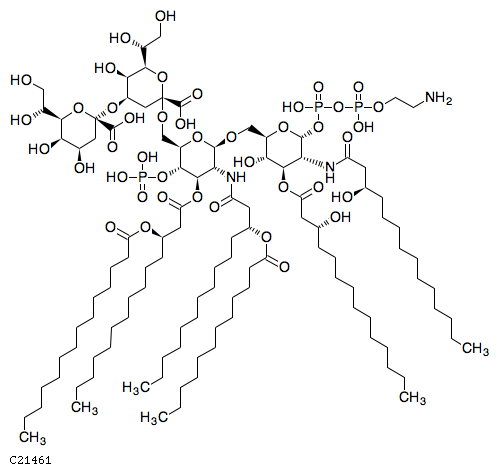
C21461                      Compound                               
Name
KDO2-lipid A 1-(2-aminoethyl diphosphate)
Formula
C112H208N3O42P3
Exact mass
2360.3445
Mol weight
2361.76
Structure
Reaction
Pathway
map00540  Lipopolysaccharide biosynthesis
Enzyme
Brite
Lipids [BR:br08002]
 SL  Saccharolipids
  SL02 Acylaminosugar glycans
   C21461  KDO2-lipid A 1-(2-aminoethyl diphosphate)
Other DBs
PubChem: 329728084
LinkDB
KCF data

ATOM        160
            1   C1y C    15.2440  -13.5657
            2   C1y C    16.4327  -12.8664
            3   C1y C    14.0552  -12.8664
            4   O7a O    15.2440  -14.9642
            5   C1y C    16.4327  -11.4679
            6   N1b N    17.6215  -13.5657
            7   C1y C    14.0552  -11.4679
            8   O2b O    12.7966  -13.5657
            9   C7a C    14.0552  -15.6635
            10  O2x O    15.2440  -10.7686
            11  O2a O    17.6215  -10.7686
            12  C5a C    17.6215  -14.9642
            13  C1b C    12.7966  -10.7686
            14  P1b P    11.3980  -13.5657
            15  C1b C    14.0552  -17.0620
            16  O6a O    12.7966  -14.9642
            17  C1b C    18.8801  -10.0694
            18  C1b C    18.8801  -15.6635
            19  O5a O    16.4327  -15.6635
            20  O2a O    12.7966   -9.3701
            21  O1c O    11.3980  -12.1671
            22  O1c O     9.9995  -13.5657
            23  O1c O    11.3980  -14.9642
            24  C1c C    12.7966  -17.7612
            25  C1y C    20.0689  -10.7686
            26  C1c C    18.8801  -17.0620
            27  C1z C    12.7966   -7.9716
            28  O7a O    11.6078  -17.0620
            29  C1b C    12.7966  -19.1598
            30  C1y C    20.0689  -12.1671
            31  O2x O    21.2576  -10.0694
            32  O7a O    20.0689  -17.7612
            33  C1b C    17.6215  -17.7612
            34  C1x C    11.6078   -8.6708
            35  O2x O    12.7966   -6.5731
            36  C6a C    14.0552   -8.4611
            37  C7a C    10.4191  -17.7612
            38  C1b C    11.6078  -19.8590
            39  C1y C    21.2576  -12.8664
            40  O1a O    18.8801  -12.5168
            41  C1y C    22.5163  -10.7686
            42  C7a C    20.0689  -19.1598
            43  C1b C    17.6215  -19.1598
            44  C1y C    10.3491   -7.9716
            45  C1y C    11.6078   -5.8738
            46  O6a O    14.0552   -9.8596
            47  O6a O    15.2440   -7.7618
            48  C1b C    10.4191  -19.1598
            49  O6a O     9.1604  -17.0620
            50  C1b C    11.6078  -21.2575
            51  C1y C    22.5163  -12.1671
            52  O7a O    21.2576  -14.2649
            53  O2b O    23.7050  -10.0694
            54  C1b C    18.8801  -19.8590
            55  O6a O    21.3275  -19.8590
            56  C1b C    16.4327  -19.8590
            57  O2a O     9.3003   -8.7408
            58  C1y C    10.3491   -6.5731
            59  C1c C    11.4680   -4.4753
            60  C1b C     9.1604  -19.8590
            61  C1b C    10.4191  -21.9568
            62  N1b N    24.5442  -12.8664
            63  C7a C    22.5163  -14.9642
            64  P1b P    23.7050   -8.6708
            65  C1b C    18.8801  -21.2575
            66  C1b C    16.4327  -21.2575
            67  C1z C     8.1115   -9.4400
            68  O1a O     9.1604   -5.9437
            69  C1b C    12.6567   -3.7061
            70  O1a O    10.2093   -3.8459
            71  C1b C     9.1604  -21.2575
            72  C1b C    10.4191  -23.3553
            73  C5a C    25.7329  -12.1671
            74  C1b C    22.5163  -16.3627
            75  O6a O    23.7050  -14.2649
            76  O1c O    22.3065   -8.6708
            77  O1c O    23.7050   -7.2723
            78  O2c O    25.1036   -8.6708
            79  C1b C    17.6914  -21.9568
            80  C1b C    15.2440  -21.9568
            81  O2x O     6.9228   -8.7408
            82  C1x C     8.1115  -10.8386
            83  C6a C     9.3003  -10.1393
            84  O1a O    12.6567   -2.3076
            85  C1b C     7.9717  -21.9568
            86  C1b C     9.2303  -24.0546
            87  C1b C    26.9916  -12.8664
            88  O5a O    25.7329  -10.7686
            89  C1c C    23.7050  -17.0620
            90  C1b C    17.6914  -23.3553
            91  C1b C    15.2440  -23.3553
            92  C1y C     5.7340   -9.5100
            93  C1y C     6.9927  -11.5378
            94  O6a O    10.4890   -9.4400
            95  O6a O     9.3003  -11.4679
            96  C1b C     7.9717  -23.3553
            97  C1b C     9.1604  -25.4531
            98  C1c C    26.9916  -14.2649
            99  C1b C    23.7050  -18.4605
            100 O1a O    24.8938  -16.3627
            101 C1b C    16.5026  -24.0546
            102 C1b C    14.0552  -24.0546
            103 C1y C     5.7340  -10.8386
            104 C1c C     4.4753   -8.8107
            105 O1a O     6.9927  -12.9363
            106 C1b C     6.7829  -24.0546
            107 C1b C     7.9717  -26.1524
            108 C1b C    28.1803  -14.9642
            109 O1a O    25.7329  -14.9642
            110 C1b C    24.8938  -19.1598
            111 C1b C    16.5026  -25.4531
            112 C1b C    14.0552  -25.4531
            113 O1a O     4.5453  -11.6077
            114 C1b C     4.4753   -7.4122
            115 O1a O     3.2866   -9.5799
            116 C1b C     6.7829  -25.4531
            117 C1b C     7.9717  -27.5509
            118 C1b C    28.1803  -16.3627
            119 C1b C    24.8938  -20.5583
            120 C1b C    15.2440  -26.1524
            121 C1b C    12.7966  -26.1524
            122 O1a O     3.2866   -6.7828
            123 C1b C     5.5942  -26.1524
            124 C1b C     6.7829  -28.2502
            125 C1b C    29.3691  -17.0620
            126 C1b C    26.1525  -21.2575
            127 C1b C    15.2440  -27.5509
            128 C1b C    12.7966  -27.5509
            129 C1b C     5.5942  -27.5509
            130 C1a C     6.7829  -29.6487
            131 C1b C    29.3691  -18.5304
            132 C1b C    26.1525  -22.6561
            133 C1b C    14.0552  -28.2502
            134 C1a C    11.6078  -28.2502
            135 C1b C     4.3355  -28.2502
            136 C1b C    30.6277  -19.2297
            137 C1b C    27.3412  -23.3553
            138 C1b C    14.0552  -29.6487
            139 C1b C     4.3355  -29.6487
            140 C1b C    30.6277  -20.6282
            141 C1b C    27.3412  -24.7539
            142 C1a C    12.8665  -30.3479
            143 C1b C     3.1468  -30.3479
            144 C1b C    31.8165  -21.3275
            145 C1b C    28.5299  -25.4531
            146 C1a C     3.1468  -31.7465
            147 C1b C    31.8165  -22.7260
            148 C1b C    28.5299  -26.8516
            149 C1b C    33.0052  -23.4253
            150 C1b C    29.7187  -27.5509
            151 C1b C    33.0052  -24.8238
            152 C1a C    29.7187  -28.9494
            153 C1a C    34.1940  -25.5230
            154 P1b P    26.5021   -8.6708
            155 O2b O    27.9006   -8.6708
            156 O1c O    26.5021   -7.2723
            157 O1c O    26.5021  -10.0694
            158 C1b C    29.0894   -7.9716
            159 C1b C    30.3480   -8.6708
            160 N1a N    31.5368   -7.9716
BOND        163
            1     1   2 1
            2     1   3 1
            3     1   4 1 #Up
            4     2   5 1
            5     2   6 1 #Down
            6     3   7 1
            7     3   8 1 #Down
            8     4   9 1
            9     5  10 1
            10    5  11 1 #Up
            11    6  12 1
            12    7  13 1 #Up
            13    8  14 1
            14    9  15 1
            15    9  16 2
            16   11  17 1
            17   12  18 1
            18   12  19 2
            19   13  20 1
            20   14  21 1
            21   14  22 1
            22   14  23 2
            23   15  24 1
            24   25  17 1 #Up
            25   18  26 1
            26   20  27 1
            27   24  28 1 #Up
            28   24  29 1
            29   25  30 1
            30   25  31 1
            31   26  32 1 #Down
            32   26  33 1
            33   27  34 1
            34   27  35 1
            35   27  36 1 #Up
            36   28  37 1
            37   29  38 1
            38   30  39 1
            39   30  40 1 #Down
            40   31  41 1
            41   32  42 1
            42   33  43 1
            43   34  44 1
            44   35  45 1
            45   36  46 1
            46   36  47 2
            47   37  48 1
            48   37  49 2
            49   38  50 1
            50   39  51 1
            51   39  52 1 #Up
            52   41  53 1 #Down
            53   42  54 1
            54   42  55 2
            55   43  56 1
            56   44  57 1 #Up
            57   44  58 1
            58   45  59 1 #Up
            59   48  60 1
            60   50  61 1
            61   51  62 1 #Down
            62   52  63 1
            63   53  64 1
            64   54  65 1
            65   56  66 1
            66   67  57 1 #Down
            67   58  68 1 #Up
            68   59  69 1
            69   59  70 1 #Down
            70   60  71 1
            71   61  72 1
            72   62  73 1
            73   63  74 1
            74   63  75 2
            75   64  76 1
            76   64  77 2
            77   64  78 1
            78   65  79 1
            79   66  80 1
            80   67  81 1
            81   67  82 1
            82   67  83 1 #Up
            83   69  84 1
            84   71  85 1
            85   72  86 1
            86   73  87 1
            87   73  88 2
            88   74  89 1
            89   79  90 1
            90   80  91 1
            91   81  92 1
            92   82  93 1
            93   83  94 1
            94   83  95 2
            95   85  96 1
            96   86  97 1
            97   87  98 1
            98   89  99 1
            99   89 100 1 #Down
            100  90 101 1
            101  91 102 1
            102  92 103 1
            103  92 104 1 #Up
            104  93 105 1 #Up
            105  96 106 1
            106  97 107 1
            107  98 108 1
            108  98 109 1 #Up
            109  99 110 1
            110 101 111 1
            111 102 112 1
            112 103 113 1 #Up
            113 104 114 1
            114 104 115 1 #Down
            115 106 116 1
            116 107 117 1
            117 108 118 1
            118 110 119 1
            119 111 120 1
            120 112 121 1
            121 114 122 1
            122 116 123 1
            123 117 124 1
            124 118 125 1
            125 119 126 1
            126 120 127 1
            127 121 128 1
            128 123 129 1
            129 124 130 1
            130 125 131 1
            131 126 132 1
            132 127 133 1
            133 128 134 1
            134 129 135 1
            135 131 136 1
            136 132 137 1
            137 133 138 1
            138 135 139 1
            139 136 140 1
            140 137 141 1
            141 138 142 1
            142 139 143 1
            143 140 144 1
            144 141 145 1
            145 143 146 1
            146 144 147 1
            147 145 148 1
            148 147 149 1
            149 148 150 1
            150 149 151 1
            151 150 152 1
            152 151 153 1
            153   7  10 1
            154  41  51 1
            155  45  58 1
            156  93 103 1
            157  78 154 1
            158 154 155 1
            159 154 156 2
            160 154 157 1
            161 155 158 1
            162 158 159 1
            163 159 160 1

» Japanese version

DBGET integrated database retrieval system