KEGG   COMPOUND: C21836
Entry
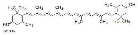
C21836                      Compound                               
Name
meso-Zeaxanthin;
(3R,3'S)-beta,beta-Carotene-3,3'-diol
Formula
C40H56O2
Exact mass
568.4280
Mol weight
568.87
Structure
Reaction
Enzyme
Brite
Lipids [BR:br08002]
 PR  Prenol lipids
  PR01 Isoprenoids
   PR0107 C40 isoprenoids (tetraterpenes)
    C21836  meso-Zeaxanthin
Other DBs
CAS: 31272-50-1
LIPIDMAPS: LMPR01070013
LinkDB
KCF data

ATOM        42
            1   C2y C    30.1270  -15.8462
            2   C1z C    31.3441  -16.5441
            3   C2y C    30.1270  -14.4417
            4   C2b C    28.9182  -16.5527
            5   C1x C    32.5525  -15.8462
            6   C1a C    32.0419  -17.7527
            7   C1a C    30.6377  -17.7527
            8   C1x C    31.3441  -13.7437
            9   C1a C    28.9098  -13.7353
            10  C2b C    27.7097  -15.8546
            11  C1y C    32.5611  -14.4501
            12  C2c C    26.5010  -16.5441
            13  O1a O    33.7697  -13.7267
            14  C2b C    25.2839  -15.8462
            15  C1a C    26.5626  -17.9484
            16  C2b C    24.0751  -16.5357
            17  C2b C    22.8580  -15.8376
            18  C2c C    21.6496  -16.5270
            19  C2b C    20.4324  -15.8292
            20  C1a C    21.6409  -17.9314
            21  C2b C    19.2237  -16.5186
            22  C2b C    18.0152  -15.8206
            23  C2b C    16.8065  -16.5186
            24  C2c C    15.5893  -15.8206
            25  C2b C    14.3808  -16.5100
            26  C1a C    15.5893  -14.4163
            27  C2b C    13.1638  -15.8122
            28  C2b C    11.9550  -16.5016
            29  C2c C    10.7379  -15.8035
            30  C2b C     9.5291  -16.4930
            31  C1a C    10.7379  -14.3993
            32  C2b C     8.3207  -15.7951
            33  C2y C     7.1206  -16.4846
            34  C1z C     5.9034  -15.7865
            35  C2y C     7.1206  -17.8890
            36  C1x C     4.6863  -16.4846
            37  C1a C     6.5929  -14.5694
            38  C1a C     5.1884  -14.5694
            39  C1x C     5.9034  -18.5954
            40  C1a C     8.3207  -18.5954
            41  C1y C     4.6863  -17.8890
            42  O1a O     3.4692  -18.5868
BOND        43
            1     1   2 1
            2     1   3 2
            3     1   4 1
            4     2   5 1
            5     2   6 1
            6     2   7 1
            7     3   8 1
            8     3   9 1
            9     4  10 2
            10    5  11 1
            11   10  12 1
            12   11  13 1 #Down
            13   12  14 2
            14   12  15 1
            15   14  16 1
            16   16  17 2
            17   17  18 1
            18   18  19 2
            19   18  20 1
            20   19  21 1
            21   21  22 2
            22   22  23 1
            23   23  24 2
            24   24  25 1
            25   24  26 1
            26   25  27 2
            27   27  28 1
            28   28  29 2
            29   29  30 1
            30   29  31 1
            31   30  32 2
            32   32  33 1
            33   33  34 1
            34   33  35 2
            35   34  36 1
            36   34  37 1
            37   34  38 1
            38   35  39 1
            39   35  40 1
            40   36  41 1
            41   41  42 1 #Up
            42    8  11 1
            43   39  41 1

» Japanese version

DBGET integrated database retrieval system